Next: Evaluierung und Simulation
Up: Erweiterungen zu Guaranteed Percentage
Previous: Bestimmung der Anteile
  Inhalt
Eine weitere Möglichkeit, Threads mit kurzer Deadline einzuplanen, besteht darin, für jeden Thread das Intervall mit anzugeben, in dem er seinen Anteil bekommen muß. Damit ist festgelegt, wann ihm Rechenzeit entzogen werden darf, und wann das zu Verletzungen von Deadlines führen würde.
Gegeben seien (n-1) Threads
mit den Raten
in den Intervallen
.
Dazu kommt ein Thread
mit D1<T1, für den wir zunächst annehmen, I1 sei kürzer als alle anderen Intervalle. Er werde nur einmal innerhalb des längsten Intervalls aufgerufen. Ist
,
so kann der Thread auf jeden Fall angenommen werden. Anderenfalls muß man anderen Threads im System kurzfristig Rechenzeit entziehen, die man ihnen später in ihrem Intervall wieder zurückgibt.
Abbildung:
Intervalle und Rechenzeitzuweisung für n=3
|
|
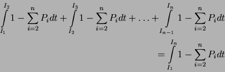
Abbildung 2.12 zeigt ein Beispiel für n=3. Der zusätzliche Bedarf von
,
der den anderen Threads entzogen werden muß, ist
also der Teil, um den die Summe der Pi 100% überschreitet.
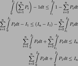
seien oBdA nach aufsteigender Intervallänge sortiert. Dann kann jedem Thread
der Anteil
 |
(2) |
innerhalb des Intervalls Ik-1 entzogen werden. Formel 2.2 beschreibt die Prozessorleistung, die
zurückerhalten kann, wenn er für den Rest seines Intervalls die gesamte Restleistung des Prozessors erhält.
Maximal kann den Threads
also
entzogen werden. Damit ist auch der Fall abgedeckt, daß I1 nicht das kürzeste Intervall ist. Weiterhin bedeutet das insbesondere auch, das man die zusätzlich benötigte Rechenleistung direkt von dem Thread mit dem längsten Intervall abziehen kann.
Der neue Thread
kann also genau dann angenommen werden, wenn er nicht mehr zusätzliche Rechenleistung braucht, als dem System maximal entzogen werden kann:
Da
nur innerhalb seines Intervalls ausgeführt wird, also P1=0 für t>I1 gilt, folgt:
 |
(3) |
Daraus ergibt sich folgender Scheduling-Algorithmus: Der neue Thread wird angenommen, falls die Ungleichung 2.3 erfüllt ist, sonst abgelehnt. Wenn
aktiv ist (in dem Intervall I1), wird dem Thread
mit dem längsten Intervall die Rechenleistung entzogen, die
zusätzlich benötigt. In der restlichen Zeit bekommt
die gesamte Restleistung des Prozessors zugeschlagen. Damit ist auch der Fall abgedeckt, dass
erst am Ende des Intervalls In aktiv wird.
Next: Evaluierung und Simulation
Up: Erweiterungen zu Guaranteed Percentage
Previous: Bestimmung der Anteile
  Inhalt
Alexander Schulz
2000-06-18